Á½¶ÖÕÓÆø¹øÂ¯¼ÛÇ®
ÕÓÆø£¬Ðí¶àÈ˶¼ÖªµÀËüÊÇ¿ÉÔÙÉúÄÜÔ´£¬Ò²ÖªµÀËüÊǷdz£»·±£µÄ£¬µ«ÕÕ¾ÉÓÐÐí¶à¹ºÖùøÂ¯µÄ¿Í»§¶¼²»»áÑ¡Ôñ£¬ÎªÊ²Ã´£¿×ÅʵÊÇÓÉÓÚËüÓÐÒ»¶¨µÄ¾ÖÏÞ£¬¹ØÓÚÐí¶à¿Í»§À´ËµÕâÖÖȼÁÏÓÃÆðÀ´²¢²»Àû±ã£¬µ¹ÊÇÍÀÔ׳¡¡¢ÑøÖ³³¡»òÊÇũҵÉú³¤½ÏºÃµÄµØÇø¾³£»áʹÓã¬ÓÉÓÚÕÓÆø¾ÍÊǾÓÉÕâЩµØ·½µÄ²ú³ö·ÅÆúÎïÔÙ·¢½Í¶øÌìÉúµÄ£¬ÒÔÊÇÊôÓڵ䷶µÄ“×Ô²ú×ÔÏú”ģʽ¡£Á½¶ÖÕÓÆø¹øÂ¯¼ÛÇ®Ê×ÏÈÒª¾ÙÐÐÕÓÆø¹øÂ¯Ñ¡ÐÍ£¬Ò»Ñùƽ³£WNSÕÓÆø¹øÂ¯µÄÓ¦Óý϶࣬ÓÉÓÚÕÓÆø¹øÂ¯¾ÍÊÇÖ÷ÒªÓÃÓÚ²ÉÎÂůÈÈË®µÄ£¬²¢ÇÒ¹æÄ£Ò»Ñùƽ³£Ò²²»ËãºÜ´ó£¬¶ÔÓ¦´ËÀàÓ¦ÓõÄÉÕÕÓÆøµÄWNSÈÈË®¹øÂ¯ÊÇ×îºÃµÄ¡£ËäÈ»£¬Ò²ÓÐÕÓÆøÕôÆû¹øÂ¯·½ÃæµÄÓ¦Ó㬵«ÕվɽÏÁ¿Éٵġ£
ÁíÍ⣬ÔڲɹºÕÓÆø¹øÂ¯Ê±Òª×¢ÖØ£¬ÐèÒªÖªµÀ2¶ÖÕÓÆø¹øÂ¯ÌìÌì²ú¼¸¶àÁ¢·½Ã׵įø£¬2¶ÖÕÓÆø¹øÂ¯Ã¿Ð¡Ê±ºÄÕÓÆø¼¸¶àÁ¢·½£¬ÕâÑù²ÅºÃÏàʶÐèÒªÅä¶à´óµÄÕÓÆø¹øÂ¯¡£
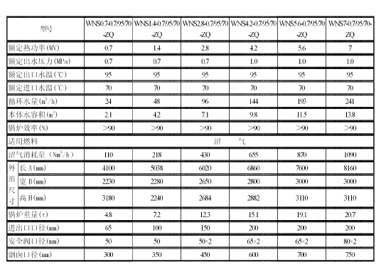
ÿÁ¢·½Ã×ÕÓÆøµÄ·¢ÈÈÁ¿Ô¼Îª20800£23600ǧ½¹£¨4968-5637 ´ó¿¨/Á¢·½Ã×£©Ö®¼ä£¬×ÔÈ»ÆøÈÈÖµ39775ǧ½¹/Á¢·½Ã×£¨9500´ó¿¨/Á¢·½Ã×£©¡£Ò»Ñùƽ³£1t×ÔÈ»ÆøÈ¼Æø¹øÂ¯µÄÈ¼ÆøÏûºÄÁ¿Ô¼Îª80Á¢·½Ã×/Сʱ£¬ÒÔÊÇ£¬1¶ÖÕÓÆø¹øÂ¯Ã¿Ð¡Ê±ºÄÕÓÆøÔ¼Îª140Á¢·½Ã×/Сʱ×óÓÒ£¨ÈÈÖµÍÆË㣩¡£ÏÂÃæÊǽÏΪÏêϸµÄWNSÐÍÕÓÆø¹øÂ¯ÊÖÒÕ²ÎÊý¹æ¸ñ£º

Ïà¹Ø×ÊѶ
- È¼Æø¹øÂ¯µÄ²Ù×÷¹æ³Ì£¬ÄÚ¸½ÏêϸÁ÷³Ì
- Âùݱö¹Ý100¸ö·¿¼ä¹©Å¯¹©ÈÈË®£¬Ñ¡Óöà´óÈ¼Æø¹øÂ¯£¿
- È¼Æø¹øÂ¯µÄÒ»Ñùƽ³£Î¬»¤±£Ñø_¹øÂ¯·¿Ñø»¤
- È¼Æø¹øÂ¯Æô¯ÔËÐÐÓëͣ¯²Ù×÷Á÷³Ì
- È¼Æø¹øÂ¯Ã¿¼¾¶Èά»¤±£ÑøÏîÄ¿ÓÐÄÄЩ£¿
- ±Ø±¸ÖªÊ¶£ºÈ¼Æø¹øÂ¯ÔËÐвÙ×÷ʱµÄ×¢ÖØÊÂÏî
- ̼·ÏÈ·æ | Ó¯²ÊÍøÈ¼Æø¹øÂ¯Îª·Ä֯ӡȾÐÐÒµÂÌÉ«Éú³¤ÔöÌíÐÚÓ¿¶¯ÄÜ
- È¼Æø¹øÂ¯×°Öñ¸°¸Á÷³Ì¼°É걨¼àÊÓÄ¥Á·
- È¼Æø¹øÂ¯»ù±¾ÊÖÒÕÖ¸±êÓÐÄÄЩ£¿
- 4¶Ö6¶Ö8¶Ö10¶Ö15¶Ö20¶ÖÈ¼ÆøÕôÆû¹øÂ¯³öÊÛ







